このような計算をされている方に必要な知識です シェルアンドチューブなどの熱交換機の計算 パイプ内の熱伝達を計算 配管出入口温度が既知の時の、配管全体の熱交換量を計算 質量流量とはこのように定義されます 単位時間当たりに流...
このような計算をされている方に必要な知識です シェルアンドチューブなどの熱交換機の計算 パイプ内の熱伝達を計算 配管出入口温度が既知の時の、配管全体の熱交換量を計算 質量流量とはこのように定義されます 単位時間当たりに流...
このような計算をされている方に必要な知識です 物質伝達が生じる現象の計算 混合物内の濃度が異なる流体の熱計算 乾燥工程の熱計算 質量流速とはこのように定義されます 具体例として以下のようなものがあります 水の中に落とした...
このような計算をされている方に必要な知識です 高温製品を冷却ファンにて冷却する計算 電子回路のヒートシンク用冷却ファンの選定 金型を冷却槽にて冷やす時のチラ―容量計算 パイプ内を流れる冷却水の水量を計算 冷却風が流れいて...
このような計算をされている方に必要な知識です 耐熱電線の選定。 電線に正規の電流をながして溶けかけた場合、温度上昇を計算。 環境温度の(高室温)、推測する方法を検討。 シリコンゴムで覆われた(公称断面積、外側にガラス組編...
この場合、 円柱の表面の熱伝達率は、クーラントの速度によって、以下のように変化します。 (円柱直径25mm、表面温度80℃に、30℃のクーラントが表面を流れている時を想定) つまり 「熱伝達率」、「境膜伝熱係数」 は、条...
このような計算をされている方に必要な知識です 非円径断面形状をもつ管路内の境膜伝熱係数を計算 管路摩擦抵抗からおよその境膜伝熱係数を求める 同心円環水路を持つ金型温調設備の熱設計 水力直径とはこのように定義されます 具体...
このような計算をされている方に必要な知識です CAEシミュレーションを行っている方。 伝熱FEM(有限要素法)解析を行っている方。 幾何学的に対称な物体の境界の条件設定をする時。 断熱条件とはこのように定義されます 具体...
このような計算をされている方に必要な知識です レイノルズ数の計算 輸送現象における分子拡散の計算 対流熱伝達係数の計算 動粘度(動粘性係数)とはこのように定義されます ただし、 ν:動粘度(m^2/sec) μ:粘性係数...
このような計算をされている方に必要な知識です 多層断熱材の性能評価 保温設備の壁面厚さ計算 空気調和の計算 熱通過率とはこのように定義されます...
このような計算をされている方に必要な知識です 気体(ガス)を通過後の放射エネルギを計算する レーザーが気体を通過する時のエネルギ減衰量を概算する時 サーモグラフなどの非接触型温度計測時の、出力画像の補正 ビア(ビオ)の法...
このような計算をされている方に必要な知識です 均質な中肉の円柱(棒)の内部温度の時間変化 薄い均質な板内部の温度変化 均質な球体内部の温度時間変化 温度境界条件によって、固体内の温度を求める計算 金属などの高熱伝導率物質...
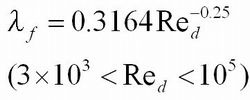
このような計算をされている方に必要な知識です 乱流域の管摩擦係数を求める時 パイプ内の空気の管路損失を計算する時 レイノルズ数が乱流域の場合に圧力損失を計算する場合 ブラジウスの式とはこのように定義されます 具体例として...

まずは、無料でご相談ください。すぐに解決するかも知れません。
エクセルファイル、計算レポートはございませんが、
簡単なことでしたら、すぐに回答いたします。
(現在申込者多数のため、40歳以上の方に限らせていただきます。)
日本全国

アジア各国(順序不同)
中華人民共和国
中華民国(台湾)
大韓民国
タイ王国
インドネシア共和国
インド共和国
シンガポール共和国






![]()
欧米各国(順序不同)
アメリカ合衆国全域
イギリス
ドイツ連邦共和国


