2012-12-07
このような業務をされている方にお勧めです。 所要凝縮量を実現するための冷却水量を計算 冷却水出口温度を計算 上記のような計算は25日で解決します...
このような業務をされている方にお勧めです。 所要凝縮量を実現するための冷却水量を計算 冷却水出口温度を計算 上記のような計算は25日で解決します...
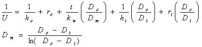
このような業務をされている方にお勧めです。 二液非混合流体の熱交換器計算 熱交換器出口温度計算 総括伝熱面積の計算 記号の意味 U:総括伝熱係数 (W / m2 K) ho:管外境膜伝熱係数 (W / m2 K) hi:...
このような業務をされている方にお勧めです。 熱交換機の冷却管配置設計 高温配管に必要な冷却水量を計算 熱交換機配管のpassを計算 多管式熱交換器には、このような計算が必須になります。 上記のような計算は25日で解決しま...

まずは、無料でご相談ください。すぐに解決するかも知れません。
エクセルファイル、計算レポートはございませんが、
簡単なことでしたら、すぐに回答いたします。
(現在申込者多数のため、40歳以上の方に限らせていただきます。)
日本全国

アジア各国(順序不同)
中華人民共和国
中華民国(台湾)
大韓民国
タイ王国
インドネシア共和国
インド共和国
シンガポール共和国






![]()
欧米各国(順序不同)
アメリカ合衆国全域
イギリス
ドイツ連邦共和国


